Larry Carr, a footballer whose brain has suffered repeated trauma from his football career, was diagnosed with concussive brain injury in 2008. His symptoms appeared 20 years ago, starting with speech problems and developing into severe emotional regulation disorder, depression, anxiety and paranoia.
Dr. Margaret Naeser, a professor of neurology at the time, enrolled Larry in a trial that involved shining red light on his head to restore brain function, and after 18 weeks of treatment, his emotional outbursts and depression scores dropped dramatically and his brain health improved significantly.
Another small study in 2009 took 10 patients with a history of major depression and anxiety and exposed them to red/near infrared light on their foreheads for 4 weeks.
At the end of the 4 weeks, 6 out of 10 patients had relief of depressive symptoms and 7 out of 10 patients had relief of anxiety symptoms.

Infrared therapy helps to reduce oil production and bacterial levels on the skin, helping to clear up skin problems such as acne.
This study found, for example, that the skin of people infected with smallpox, which briefly turns into deep scars when exposed to sunlight, healed and the scars were reduced if the sun was blocked by heavy red curtains that exposed the patient to only red light.
In an experiment in 1968, Endre Mester made an incision in the skin of a rodent and implanted a cancerous tumour, he then tried to destroy it with a laser, the laser did not kill the tumour, the laser instead healed the wound he had made in the skin.
A 2014 study also found that red light therapy activates multiple signaling pathways and activates stem cells, which increases tissue repair and healing, and has beneficial effects on wrinkles, acne scars, hypertrophic scars and burn healing.
However, there is still relatively little research on infrared therapy for vitiligo, psoriasis and psoriasis and more research is needed.
Red light therapy increases the production of ATP energy, helping your body to function more efficiently, absorb more energy and improve blood circulation, with benefits for muscle recovery both before and after a workout.
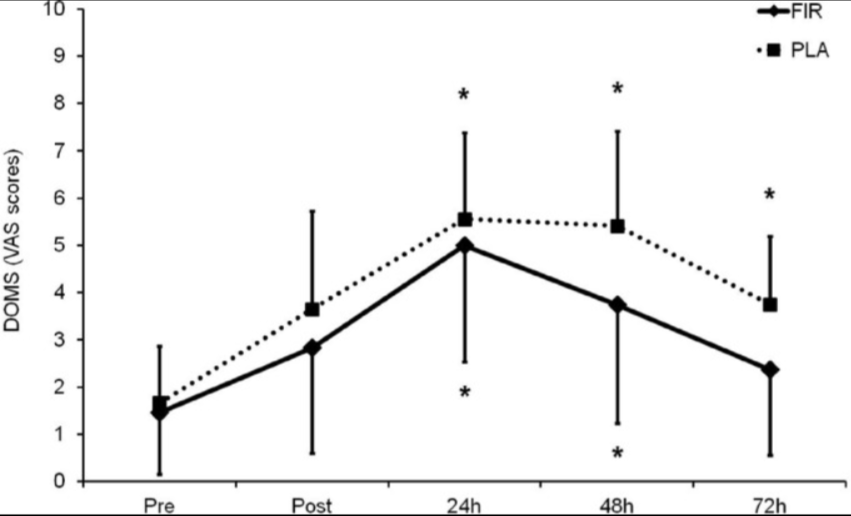
A 2016 study of the effects of far infrared (FIR) emitting clothing on muscle damage and physical recovery after intense training in football players.
A total of 21 male athletes (18.9 ± 0.6 years; 70.8 ± 5.01 kg; 178.3 ± 0.06 cm) performed 100 jumps and 6 hours after the game, the athletes wore far-infrared (FIR) emitting clothing and creatine kinase (CK) and delayed onset muscle soreness (DOMS) were pre, post, and 24, 48 and 72 h after the onset Assessments were performed.
The results found that far infrared (FIR) emitting clothing had a greater effect on delayed onset muscle soreness (moderate at 48 h and greater at 72 h), suggesting that far infrared (FIR) emitting clothing may reduce muscle soreness in football players after strenuous physical training.
Also, a 2018 study to determine the effect of 2 different temporal responses on knee extensor fatigue with 16 male volunteers (26 ± 6.0 years, 81 ± 12 kg and 181 ± 7.4 cm) found that infrared therapy before and after exercise reduced knee muscle fatigue.
Over the past 30 years, hundreds of clinical trials have demonstrated that red light therapy can enhance lymphatic system activity, reduce swelling and inflammation, and have a positive effect on arthritis, joint pain, knee pain, meniscal tears, general knee pain, rheumatoid arthritis and back pain.
Conventional drugs are known to treat arthritis symptoms but not cure them, but results from a study published by Brazilian light medicine researchers in late 2018 showed that red light therapy reduced levels of all cytokines and increased the number of immune cells in mammals after treatment.
Copyright © 2026 Guangdong Newdermo Biotech Co.,Ltd. - newdermobeauty.com All Rights Reserved.